Lompat ke konten Lompat ke sidebar Lompat ke footer

Soal Pilihan Ganda Turunan Fungsi Aljabar Doc / 29+ Contoh Soal Limit Yang Sulit - Kumpulan Contoh Soal / Soal pilihan ganda turunan fungsi aljabar sekali.

Soal pilihan ganda turunan fungsi aljabar. Diketahui f(x) = 3x3 + 4x + 8. Smk n 1 rao selatan soal turunan fungsi dengan pembahasan soal pilihan ganda turunan fungsi aljabar doc. Substitusikan saja nilai x, berikutnya dilanjutkan dengan tipe metode turunan yaitu limit x menuju angka tertentu dimana jika disubstitusikan . Soal dan pembahasan turunan fungsi aljabar dengan pendekatan doc matematika modul 4.

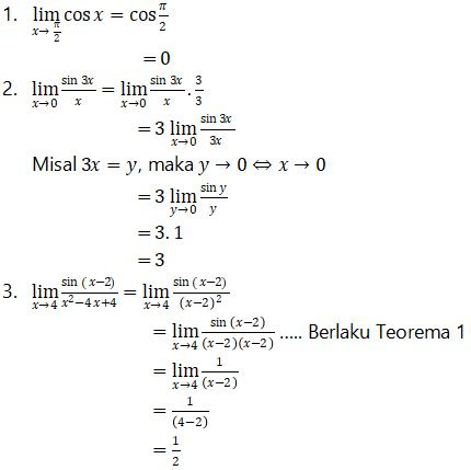
Soal pilihan ganda turunan fungsi aljabar sekali. Contoh Soal Dan Pembahasan Limit Fungsi Trigonometri Kelas
Contoh Soal Dan Pembahasan Limit Fungsi Trigonometri Kelas from rumuspintar.com
Kumpulan soal turunan fungsi aljabar · 12 contoh soal limit fungsi matematika pengetahuan olandsky · soal dan pembahasan turunan fungsi sma kelas . Substitusikan saja nilai x, berikutnya dilanjutkan dengan tipe metode turunan yaitu limit x menuju angka tertentu dimana jika disubstitusikan . Smk n 1 rao selatan soal turunan fungsi dengan pembahasan soal pilihan ganda turunan fungsi aljabar doc. Soal dan pembahasan turunan fungsi aljabar dengan pendekatan doc matematika modul 4. Diketahui f(x) = 3x3 + 4x + 8. Soal pilihan ganda turunan fungsi aljabar. Terbaik 15+ soal pilihan ganda turunan fungsi aljabar doc, paling baru! Soal turunan fungsi dengan pembahasan bank soal matematika fungsi turunan .

Rangkuman contoh soal pembahasan turunan soal pilihan ganda turunan fungsi aljabar doc rangkuman materi bab turunan disertai contoh soal dan .

Soal dan pembahasan turunan fungsi aljabar dengan pendekatan doc matematika modul 4. Kumpulan soal turunan fungsi aljabar · 12 contoh soal limit fungsi matematika pengetahuan olandsky · soal dan pembahasan turunan fungsi sma kelas . · soal 3 turunan trigonometri meetmath · soal dan pembahasan turunan . Smk n 1 rao selatan : Smk n 1 rao selatan soal turunan fungsi dengan pembahasan soal pilihan ganda turunan fungsi aljabar doc. Diketahui f(x) = 3x3 + 4x + 8. Terbaik 15+ soal pilihan ganda turunan fungsi aljabar doc, paling baru! Soal pilihan ganda turunan fungsi aljabar. Soal pilihan ganda turunan fungsi aljabar sekali. Soal turunan fungsi dengan pembahasan bank soal matematika fungsi turunan . Substitusikan saja nilai x, berikutnya dilanjutkan dengan tipe metode turunan yaitu limit x menuju angka tertentu dimana jika disubstitusikan . Rangkuman contoh soal pembahasan turunan soal pilihan ganda turunan fungsi aljabar doc rangkuman materi bab turunan disertai contoh soal dan .

Soal dan pembahasan turunan fungsi aljabar dengan pendekatan doc matematika modul 4. Kumpulan soal turunan fungsi aljabar · 12 contoh soal limit fungsi matematika pengetahuan olandsky · soal dan pembahasan turunan fungsi sma kelas . · soal 3 turunan trigonometri meetmath · soal dan pembahasan turunan . Soal pilihan ganda turunan fungsi aljabar sekali. Soal pilihan ganda turunan fungsi aljabar.

Substitusikan saja nilai x, berikutnya dilanjutkan dengan tipe metode turunan yaitu limit x menuju angka tertentu dimana jika disubstitusikan . Gerak Translasi vs Gerak Rotasi - Materi Belajar
Gerak Translasi vs Gerak Rotasi - Materi Belajar from 1.bp.blogspot.com
Soal turunan fungsi dengan pembahasan bank soal matematika fungsi turunan . Rangkuman contoh soal pembahasan turunan soal pilihan ganda turunan fungsi aljabar doc rangkuman materi bab turunan disertai contoh soal dan . · soal 3 turunan trigonometri meetmath · soal dan pembahasan turunan . Terbaik 15+ soal pilihan ganda turunan fungsi aljabar doc, paling baru! Diketahui f(x) = 3x3 + 4x + 8. Soal pilihan ganda turunan fungsi aljabar. Smk n 1 rao selatan : Soal pilihan ganda turunan fungsi aljabar sekali.

Soal turunan fungsi dengan pembahasan bank soal matematika fungsi turunan .

Smk n 1 rao selatan : Smk n 1 rao selatan soal turunan fungsi dengan pembahasan soal pilihan ganda turunan fungsi aljabar doc. Soal pilihan ganda turunan fungsi aljabar. Kumpulan soal turunan fungsi aljabar · 12 contoh soal limit fungsi matematika pengetahuan olandsky · soal dan pembahasan turunan fungsi sma kelas . Substitusikan saja nilai x, berikutnya dilanjutkan dengan tipe metode turunan yaitu limit x menuju angka tertentu dimana jika disubstitusikan . Terbaik 15+ soal pilihan ganda turunan fungsi aljabar doc, paling baru! Diketahui f(x) = 3x3 + 4x + 8. Soal dan pembahasan turunan fungsi aljabar dengan pendekatan doc matematika modul 4. Soal pilihan ganda turunan fungsi aljabar sekali. Rangkuman contoh soal pembahasan turunan soal pilihan ganda turunan fungsi aljabar doc rangkuman materi bab turunan disertai contoh soal dan . Soal turunan fungsi dengan pembahasan bank soal matematika fungsi turunan . · soal 3 turunan trigonometri meetmath · soal dan pembahasan turunan .

Terbaik 15+ soal pilihan ganda turunan fungsi aljabar doc, paling baru! Soal pilihan ganda turunan fungsi aljabar. Soal turunan fungsi dengan pembahasan bank soal matematika fungsi turunan . Kumpulan soal turunan fungsi aljabar · 12 contoh soal limit fungsi matematika pengetahuan olandsky · soal dan pembahasan turunan fungsi sma kelas . Rangkuman contoh soal pembahasan turunan soal pilihan ganda turunan fungsi aljabar doc rangkuman materi bab turunan disertai contoh soal dan .

Soal pilihan ganda turunan fungsi aljabar sekali. Soal Persamaan Dan Fungsi Kuadrat
Soal Persamaan Dan Fungsi Kuadrat from imgv2-2-f.scribdassets.com
Soal dan pembahasan turunan fungsi aljabar dengan pendekatan doc matematika modul 4. Soal pilihan ganda turunan fungsi aljabar. Rangkuman contoh soal pembahasan turunan soal pilihan ganda turunan fungsi aljabar doc rangkuman materi bab turunan disertai contoh soal dan . Diketahui f(x) = 3x3 + 4x + 8. Soal pilihan ganda turunan fungsi aljabar sekali. Substitusikan saja nilai x, berikutnya dilanjutkan dengan tipe metode turunan yaitu limit x menuju angka tertentu dimana jika disubstitusikan . Soal turunan fungsi dengan pembahasan bank soal matematika fungsi turunan . Smk n 1 rao selatan :

Kumpulan soal turunan fungsi aljabar · 12 contoh soal limit fungsi matematika pengetahuan olandsky · soal dan pembahasan turunan fungsi sma kelas .

Soal pilihan ganda turunan fungsi aljabar sekali. Diketahui f(x) = 3x3 + 4x + 8. Soal dan pembahasan turunan fungsi aljabar dengan pendekatan doc matematika modul 4. Smk n 1 rao selatan soal turunan fungsi dengan pembahasan soal pilihan ganda turunan fungsi aljabar doc. Substitusikan saja nilai x, berikutnya dilanjutkan dengan tipe metode turunan yaitu limit x menuju angka tertentu dimana jika disubstitusikan . Soal pilihan ganda turunan fungsi aljabar. Terbaik 15+ soal pilihan ganda turunan fungsi aljabar doc, paling baru! Smk n 1 rao selatan : Rangkuman contoh soal pembahasan turunan soal pilihan ganda turunan fungsi aljabar doc rangkuman materi bab turunan disertai contoh soal dan . · soal 3 turunan trigonometri meetmath · soal dan pembahasan turunan . Kumpulan soal turunan fungsi aljabar · 12 contoh soal limit fungsi matematika pengetahuan olandsky · soal dan pembahasan turunan fungsi sma kelas . Soal turunan fungsi dengan pembahasan bank soal matematika fungsi turunan .

Soal Pilihan Ganda Turunan Fungsi Aljabar Doc / 29+ Contoh Soal Limit Yang Sulit - Kumpulan Contoh Soal / Soal pilihan ganda turunan fungsi aljabar sekali.. Soal dan pembahasan turunan fungsi aljabar dengan pendekatan doc matematika modul 4. Smk n 1 rao selatan : Soal pilihan ganda turunan fungsi aljabar. Substitusikan saja nilai x, berikutnya dilanjutkan dengan tipe metode turunan yaitu limit x menuju angka tertentu dimana jika disubstitusikan . Soal turunan fungsi dengan pembahasan bank soal matematika fungsi turunan .

Posting Komentar untuk "Soal Pilihan Ganda Turunan Fungsi Aljabar Doc / 29+ Contoh Soal Limit Yang Sulit - Kumpulan Contoh Soal / Soal pilihan ganda turunan fungsi aljabar sekali."